久久小说

当前位置: 久久小说 > 学院新闻 > 正文

久久小说 教师宋文琛博士在森林生态学领域取得重要研究进展

【来源: | 发布日期:2021-03-23 】

近日,久久小说 教师宋文琛博士在阐明森林生态系统中叶片δ15N和δ13C与土壤真菌多样性、外生菌根和植物病原丰度的关系方面取得重要进展,研究成果以“Linking leaf δ15N and δ13C with soil fungal biodiversity, ectomycorrhizal and plant pathogenic abundance in forest ecosystems of China”为题于2021年1月29日在线发表在《CATENA》(农林领域I区)上。文章链接://doi.org/10.1016/j.catena.2021.105176。

图1.研究样地位置示意图

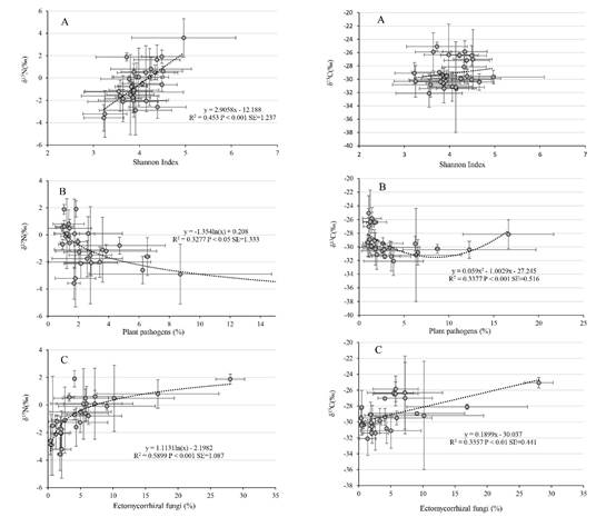
叶片δ15N和δ13C是森林生态系统生物地理学研究中的重要功能性状。然而,人们对其与土壤真菌多样性、外生菌根真菌和植物病原菌丰度的关系知之甚少。我院教师宋文琛博士利用分子和稳定同位素技术,在全国范围内采集了33个森林保护区的叶片和土壤样品,探讨了叶片δ15N和δ13C与土壤真菌多样性、外生菌根真菌和植物病原菌相对丰度的关系。研究发现,叶片δ15N主要受外生菌根真菌相对丰度的影响,δ13C主要受年平均气温和年平均降水量的影响。叶片δ15N和δ13C可作为反映森林生态系统土壤真菌群落的指标。

该研究首次阐述了中国森林生态系统中叶片δ15N和δ13C与土壤真菌多样性、外生菌根和植物病原丰度的地理格局变化,以及它们之间的影响和联系,为未来森林生态系统地上—地下互作领域的研究提供了重要的参考、指标和依据。

图2.叶片δ15N和δ13C与土壤真菌多样性、外生菌根真菌和植物病原菌丰度的关系

该论文第一作者和通讯作者为我院教师宋文琛博士。本研究得到中央民族大学“2020生态学创新团队”项目(2020CXTD)的资助。

宋文琛博士2020年7月从中国科学院微生物研究所调入久久小说 任教,主要从事森林生态学、稳定同位素生态学和根系-土壤-微生物系统方面的研究。